您现在所在的位置 :
首页 > 政务公开 > 规划计划
分享到:
| 索引号: | 4311280016/2025-01421 | 分类: | |
| 发文机关: | 发文日期: | ||
| 名称: | |||
| 文号 : | |||
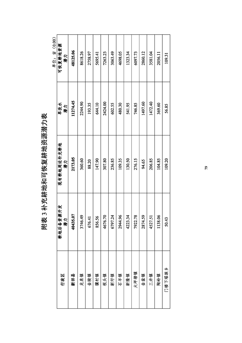
根据《湖南省自然资源厅办公室关于开展市县级耕地保护国土空间专项规划和耕地保护一张图编制工作的通知》(湘自资办发〔2021〕44号)要求,我局组织编制了《新田县耕地保护国土空间专项规划(2021-2035年)》(以下简称《规划》)。目前,该《规划》已完成咨询论证、规划公示、意见征集、专家论证、市级技术审查、县政府常务会和县规划委员会审议等规定程序。2024年1月5日,经县人民政府批准实施(新政函〔2024〕2号)。按照《中华人民共和国城乡规划法》的相关要求,现将批准后的《新田县耕地保护国土空间专项规划(2021-2035年)》予以公告。
附件:新田县耕地保护国土空间专项规划(2021-2035年)
新田县自然资源局
2024年1月31日




































































































扫一扫在手机打开当前页
中央人民政府


湘公网安备 43112802000004号


