天气

当前位置: 首页 > 政务公开 > 通知公告

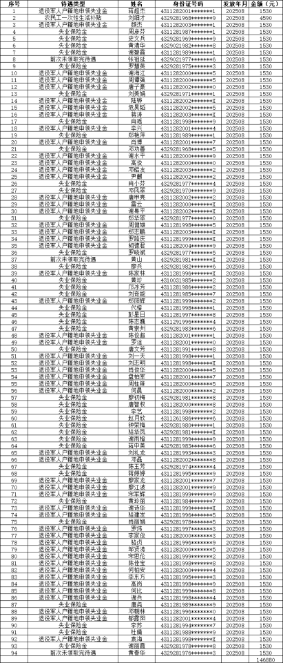
新田县2025年8月失业保险金申请人员名单公示

日期: 2025-08-18 15:39
【 字号:
打印

根据湖南省失业保险条列及有关规定,经县就业服务中心审批通过,我县蒋超杰等94人员符合领取失业保险金条件,现对相关情况予以公示。

公示时间:2025年8月18日至2025年8月25日。

期间如对公示情况有异议的,请以电话、信函、来访等方式向新田县就业服务中心反映。反映问题要实事求是,电话和信函应告知真实姓名。

监督电话:0746-4712363

地址:新田县人防大楼一楼就业服务中心102办公室

:公示人员名单

新田县就业服务中心

2025年8月18日




关闭本页
扫一扫在手机打开当前页