天气
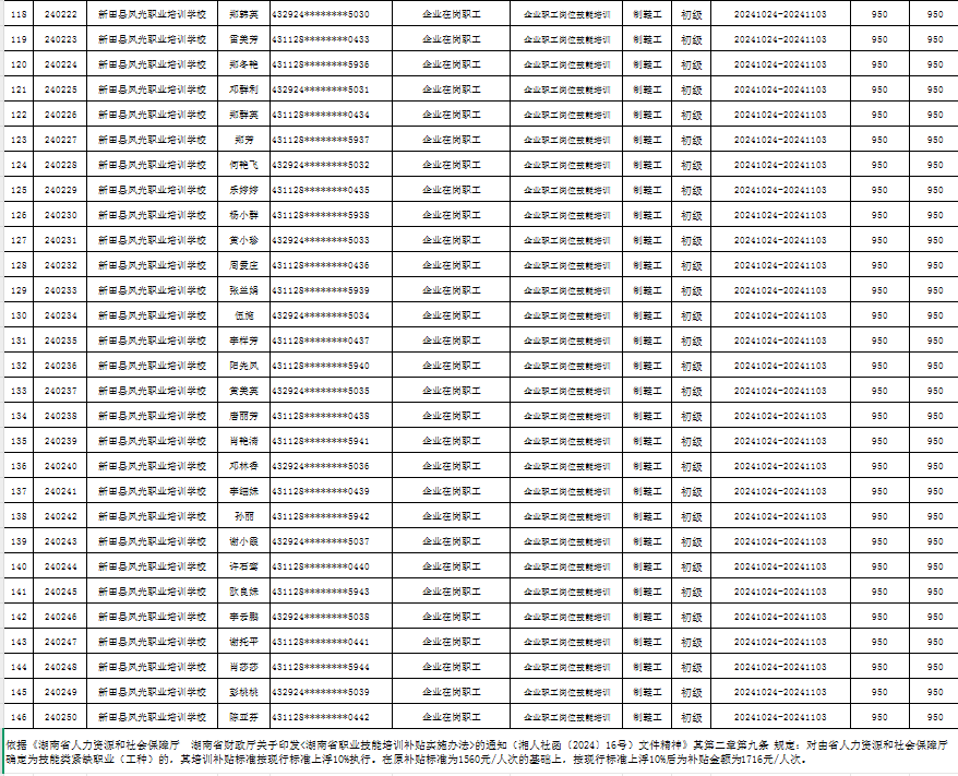
根据湖南省人社厅与财政厅的联合通知《湖南省职业技能培训补贴实施办法》(湘人社规〔2024〕16号)等文件的有关规定,现将2024年新田县风光职业培训学校(第1-3期)参加职业技能培训补贴人员名单予以公示,公示期7天。如有异议请向新田县人力资源和社会保障局就业促进与失业保险股、新田县财政局社保股等相关部门反映情况。公示期满无异议,补贴资金将按规定程序拨付。
联系方式:
新田县人社局就业股 0746-4712758
新田县财政局社保股 0746-4721237
新田县人力资源和社会保障局
2025年2月18日




