网站首页
走进祁阳
政务公开
办事服务
政民互动
您现在所在的位置 : 首页 > 政务公开 >
工作信息
分享到:
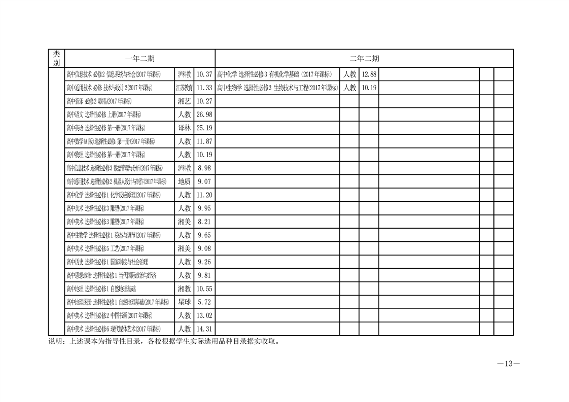
关于进一步加强2026年春季全市教育收费管理的通知
2026-02-28 16:42
来源:
祁阳市发展和改革局
作者:
【字体:
大
中
小
】
扫一扫在手机打开当前页
【TOP】
【
打印页面
】【
关闭页面
】