[an error occurred while processing the directive]
无标题文档
网站无障碍
|
适老版
网站首页
宁远概况
政务公开
办事服务
政民互动
政府数据
适老版
网站首页
宁远概况
政务公开
办事服务
政民互动
您现在所在的位置:
首页
>
政务公开
>
重点领域公开
>
稳岗就业
分享到:
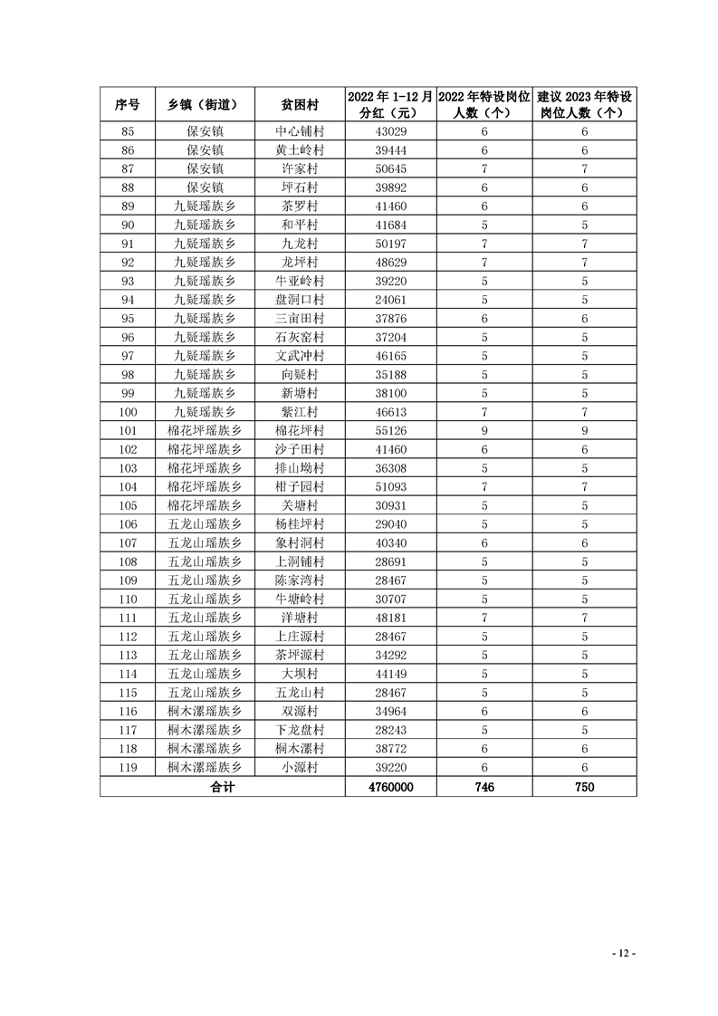
中共宁远县委实施乡村振兴战略领导小组关于印发《宁远县2023年乡村公益性岗位开发管理工作实施方案》的通知
发布时间:
2023-05-06 11:14
来源:
宁远县人社局
作者:
发布机构:
宁远县人民政府
字体【
大
中
小
】
上一篇:
下一篇:
相关政策
宁远县乡村振兴局解读《宁远县2023年乡村公益性岗位开发管理工作实施方案》
扫一扫在手机打开当前页
【TOP】
【
打印页面
】【
关闭页面
】