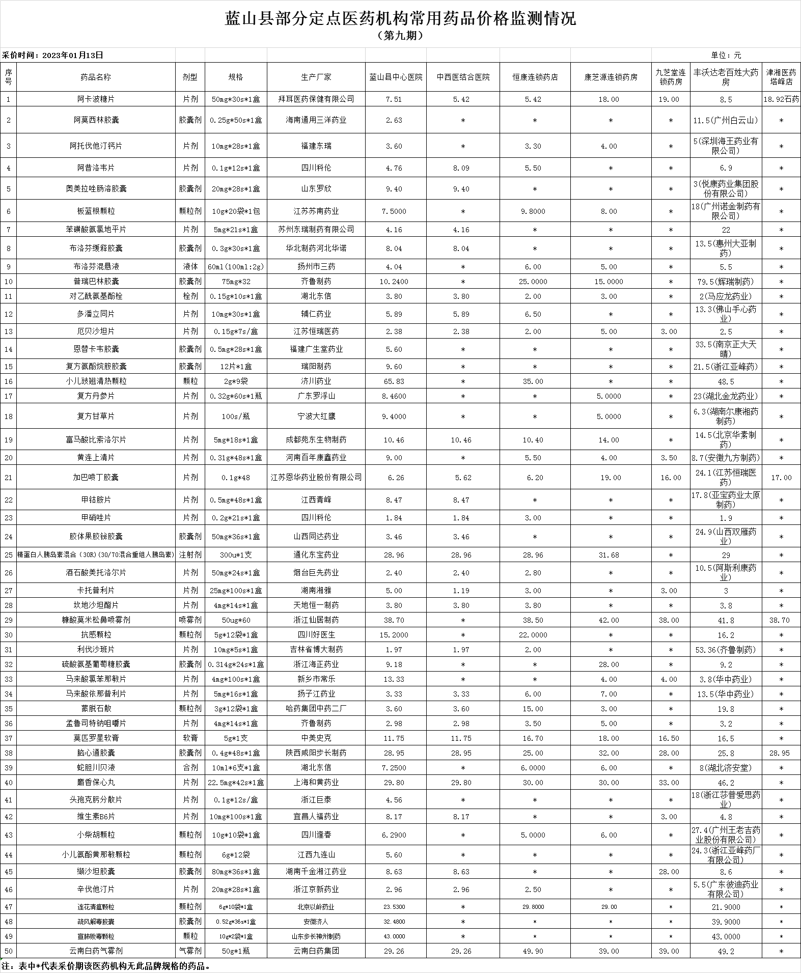
根据《国家医疗保障局关于印发关于做好当前药品价格管理工作的意见的通知》(医保发〔2019〕67号)和《零售药店医疗保障定点管理暂行办法》(医保局令3号)精神,蓝山县医疗保障局出台了《蓝山县医保定点医药机构常规药品价格信息监测与发布制度(试行)》,在全县选取7家经营规模较大、品种较全的定点医药机构做为我县常规药品价格监测、发布的监测单位,监测品种选取市场销售量较大,社会关注度高的50种药品,主要是降血脂、降血压、治疗糖尿病类用药。县医保局将对各监测定点医药机构的零售价格进行定期监测和透明公示,充分发挥“医保”药品价格信息对市场的引导作用,规范药店价格行为,强化社会监督,保障群众对药品价格的知情权、监督权、选择权,促进经营者合理制定药品价格,引导消费者合理选药购药,减轻老百姓用药负担,进一步助推医疗保障高质量发展,打造“惠民医保”。
蓝山县医疗保障局
2023年1月13日

扫一扫在手机打开当前页





