您现在所在的位置 : 首页 > 要闻 > 通知公告
索引号: 分类:  
发文机关: 市工业和信息化局 发文日期:
名称: 关于依法划定永州市输电线路电力设施保护区的公告
文号 :    
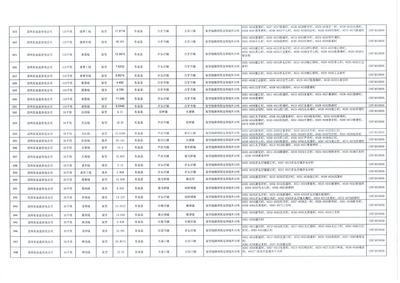
关于依法划定永州市输电线路电力设施保护区的公告
2025-06-12           来源: 能源电力科 【字体:   打印
分享到:



















扫一扫在手机打开当前页
回到 顶部

主办单位:永州市工业和信息化局 地址:永州市冷水滩区逸云路1号永州市政府大楼12楼 政府网站标识码:4311000002 电话:0746-8368005 永州市工业和信息化局版权所有   湘ICP备05009375号  

E-mail: yzxx@hnyzjxw.gov.cn  湘公网安备 43110302000125号网站地图