您现在所在的位置: 首页 > 专题专栏 > 江华县基层政务公开 > 公开进展
分享到:
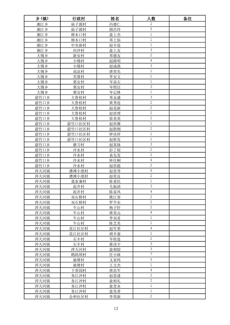
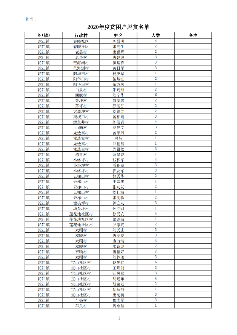
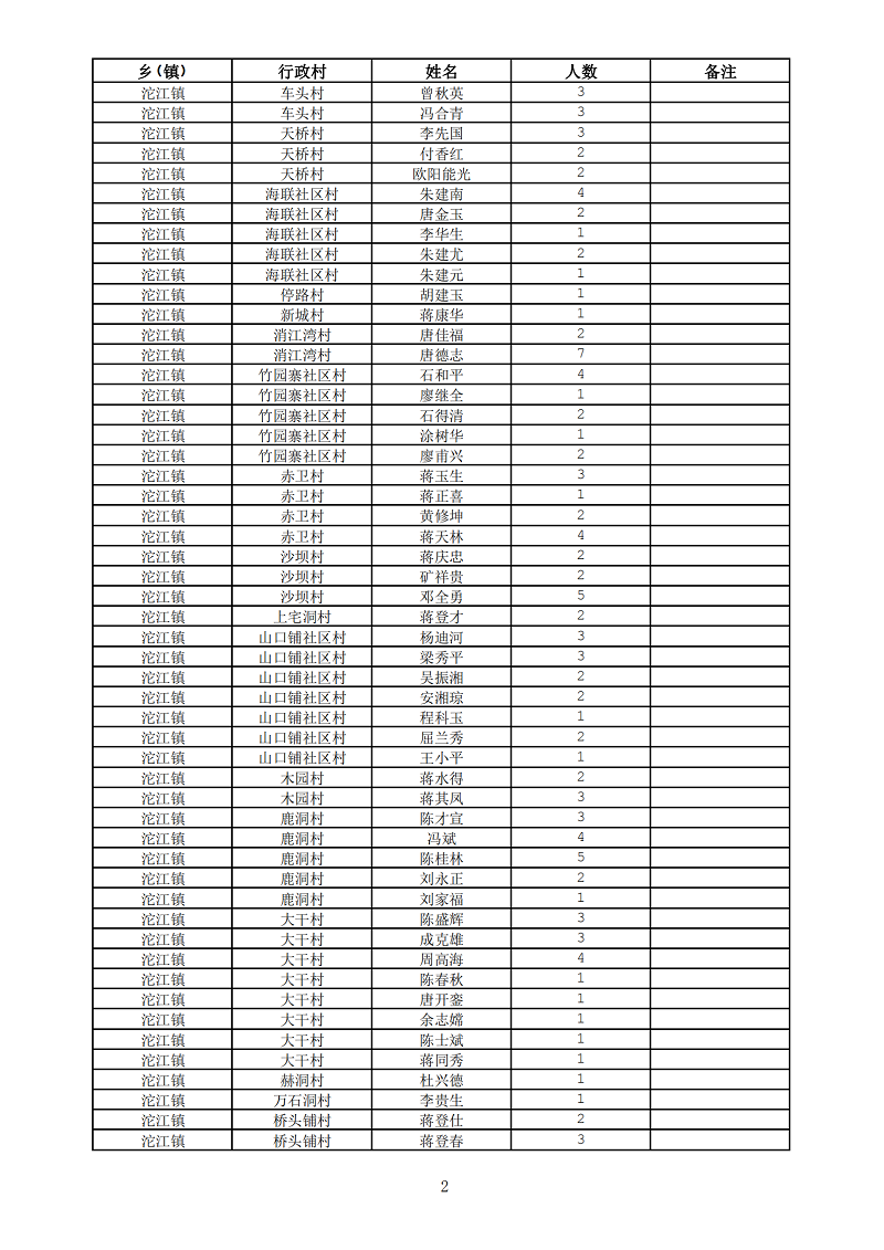
贫困户脱贫公告
  • 发布时间: 2020-11-11 09:05
  • 来源:
  • 作者:
  • 字体【      】































扫一扫在手机打开当前页
无标题文档