中央人民政府
湖南省人民政府
永州市人民政府
登录
注册
简体
繁体
无障碍 |
适老版
网站首页
道县概况
政务公开
办事服务
政民互动
您现在所在的位置 : 首页 > 政务公开 >
公示公告
分享到:
索引号:
4311240007/2025-00588
分类:
发文机关:
道县水利局
发文日期:
2025-03-31
名称:
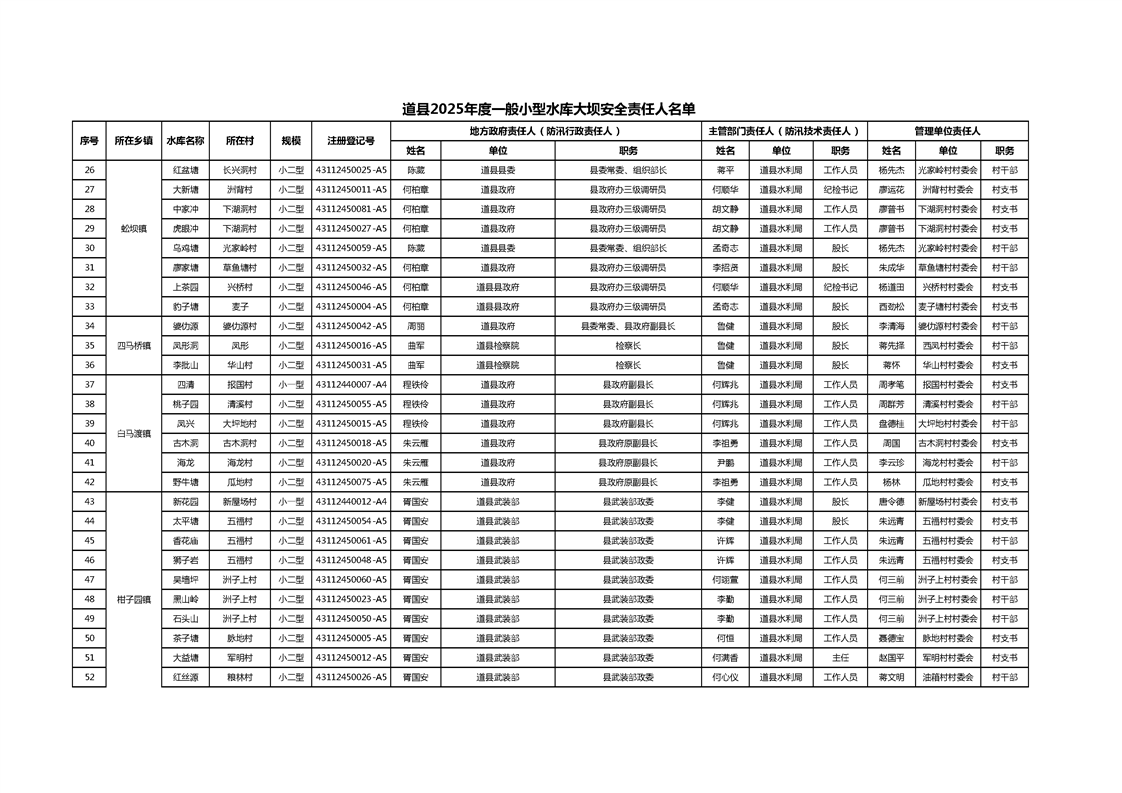
道县2025年度一般小型水库大坝安全责任人名单
文号 :
道县2025年度一般小型水库大坝安全责任人名单
2025-03-31 09:14
来源:
道县水利局
作者:
【字体:
大
中
小
】
扫一扫在手机打开当前页
【TOP】
【
打印页面
】【
关闭页面
】